Các hợp chất dibenzocyclooctadien lignan và phương pháp chiết tách các hợp chất này từ lá cây Na rừng (Kadsura coccinea (Lem.) A. C. Smith, Schisandraceae)
Ban Khoa học Công nghệ
2026-03-04T21:31:01-05:00
2026-03-04T21:31:01-05:00
https://hust.edu.vn/vi/nghien-cuu/van-bang-so-huu-tri-tue/cac-hop-chat-dibenzocyclooctadien-lignan-va-phuong-phap-chiet-tach-cac-hop-chat-nay-tu-la-cay-na-rung-kadsura-coccinea-lem-a-c-smith-schisandraceae-650239.html
/themes/default/images/no_image.gif
Đại học Bách khoa Hà Nội
https://hust.edu.vn/uploads/sys/logo-dhbk-1-02_130_191.png
Thứ bảy - 31/01/2026 21:29
Tác giả chính: Trần Thu Hương
PTN Nghiên cứu phát triển các hợp chất có nguồn gốc thiên nhiên
Ngày cấp: 07/07/2023
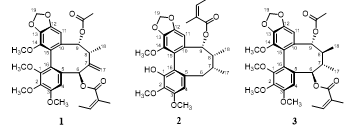
Tóm tắt: Sáng chế đề cập đến các hợp chất dibenzocyclooctadien lignan có tác dụng kháng viêm, bao gồm kasuracin A có công thức 1, angeloyl-binankadsurin A có công thức 2 và interiotherin C có công thức 3 từ lá cây Na rừng (Kadsura coccinea (Lem.) A. C. Smith, Schisandraceae).
Sáng chế còn đề cập đến phương pháp chiết tách các hợp chất dibenzocyclooctadien lignan này từ lá cây Na rừng (Kadsura coccinea (Lem.) A. C. Smith, Schisandraceae). Phương pháp theo sáng chế cho phép chiết tách được các hợp chất kasuracin A có công thức 1, angeloyl-binankadsurin A có công thức 2 và interiotherin C có công thức 3 tinh khiết ra khỏi hỗn hợp chất gồm rất nhiều chất từ phần chiết diclometan của mẫu lá cây Na rừng (Kadsura coccinea (Lem.) A. C. Smith, Schisandraceae).